일원 분석 플랫폼에서 가로 축은 기본적으로 비례 축입니다. 즉, 그룹 수준의 간격은 각 그룹의 데이터 점 수에 비례합니다. 평균 다이아몬드 표시 옵션 또는 ANOVA 검정은 일원 분석 그림에 평균 다이아몬드를 추가합니다. 평균 다이아몬드에는 X 변수의 수준에 대한 표본 평균과 신뢰 구간이 표시됩니다.
그림 6.6 평균 다이아몬드 및 X 축 비례 옵션
• 각 다이아몬드의 맨 위와 맨 아래는 각 그룹의 평균에 대한 (1 - α) x 100 신뢰 구간에 걸쳐 있습니다. 신뢰 구간은 관측값 간에 분산이 동일하다는 가정하에 계산됩니다. 따라서 다이아몬드의 높이는 그룹 내의 관측값 수에 대한 제곱근의 역수에 비례합니다.
• "X 축 비례" 옵션이 선택된 경우 가로 축에서 각 그룹이 차지하는 가로 범위(다이아몬드의 가로 크기)는 X 변수의 각 수준에 대한 표본 크기에 비례합니다. 따라서 보통은 다이아몬드의 가로가 좁을수록 세로가 길어지는데, 이는 데이터 점이 적을수록 신뢰 구간 추정값이 넓어지기 때문입니다.
• 각 다이아몬드의 가운데를 가로지르는 평균 선이 그룹 평균 위치에 표시됩니다.
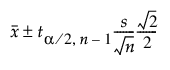
• 다이아몬드의 맨 위와 맨 아래 근처의 선은 중첩 표식입니다. 표본 크기가 동일한 그룹의 경우 중첩 표식 내에서 중첩되는 다이아몬드는 주어진 신뢰 수준에서 두 그룹 평균이 유의하게 다르지 않음을 나타냅니다. 중첩 표식은 다음과 같이 계산됩니다.

표본 크기가 동일한 두 그룹에 대해 등분산을 가정하고 한 그룹의 상위 중첩 표식을 두 번째 그룹의 하위 중첩 표식과 비교하는 것은 두 그룹의 t-검정을 실행하는 것과 동일합니다.
• 플랫폼 메뉴에서 평균/ANOVA/합동 t 또는 평균/ANOVA 옵션을 선택하면 일원 분석 그림에 평균 다이아몬드가 추가됩니다. 하지만 언제든지 빨간색 삼각형 메뉴에서 표시 옵션 > 평균 다이아몬드를 선택하여 이를 표시하거나 숨길 수도 있습니다.