각각 Ji 수준이 있는 최대 세 개의 가속 요인 xi에 대해 ALT(가속 수명 시험)가 수행된다고 가정해 보겠습니다. 시험 계획의 목표는 각 요인 수준 조합에 할당할 표본 수를 결정하는 것입니다.
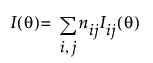
최적 기준 계산은 각 수준별 정보 행렬에서 가져온 총 Fisher 정보 행렬과

사전 불확도 S(해당하는 경우)의 포함 여부에 따라 달라집니다.
분위수 최적 설계 Dq는 다음 표현식을 최소화하는 설계입니다.

여기서 벡터 c는 최저 사용 조건에 따라 달라집니다.
단일 사용 조건의 경우

여기서 zp는 고장 분포의 p번째 분위수입니다.
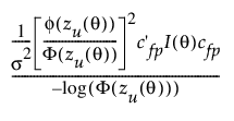
고장 확률 최적 설계 Df 는 다음 표현식을 최소화하는 설계입니다.

여기서 zU(θ)는 분위수 최적에 정의된 사용 조건에서의 표준화된 로그 시간입니다. cfp는 분위수 최적에 정의된 c와 유사하지만 마지막 항목이 zU(θ)라는 점이 다릅니다. 분자의 값은 logΦ(zU(θ))의 점근 분산을 기반으로 하며, 여기서 로그 변환은 수치 안정성을 위해 사용됩니다.