순서형 반응(Y)을 사용할 경우 모형 적합 플랫폼에서는 명목형 반응과 마찬가지로 반응이 데이터에 의해 주어진 r개의 여러 반응 수준 중 하나일 확률을 적합시킵니다.
순서형 데이터에는 연속형 데이터와 같이 순서가 있습니다. 순서는 분석에 사용되지만 정렬된 순서 사이의 간격이나 거리는 사용되지 않습니다. 수치형 반응이 있지만 모형에서 값 간격을 무시하려면 해당 반응 열에 순서형 수준을 할당하면 됩니다. 분류 변수가 있고 수준이 낮음, 중간, 높음과 같이 자연 순서인 경우 순서형 모델링 유형을 사용할 수 있습니다.
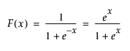
순서형 반응은 일련의 병렬 로지스틱 곡선을 누적 확률에 적합시켜 모델링됩니다. 각 곡선은 설계 모수가 동일하지만 절편이 다르며 다음과 같이 지정됩니다.
의 경우
여기서 r개의 반응 수준이 있고 F(x)는 표준 로지스틱 누적 분포 함수입니다.

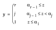
다음과 같이 여러 임계값을 통과할 때 순서형 반응이 변경되는 관측되지 않은 연속형 변수 z의 관점으로 작성할 수도 있습니다.

여기서 z는 관측 불가능한 선형 모형과 오차의 함수입니다.

e는 로지스틱 분포를 따릅니다.
이러한 모형은 반응의 순서 특성을 인식하고 명목형 모형에 비해 필요한 모수 수가 훨씬 적으며 계산이 빠르기 때문에 유용합니다.
순서형 모형을 구성하는 방법은 승산을 모델링하는 대신 누적 분포를 모델링하는 명목형 모형의 경우와 다르지만 수학적으로 동등합니다. 마지막 수준을 제외한 모든 수준에 대해 함수를 적합시키는 대신 하나의 함수만 적합시킨 후 각 누적 반응 확률을 적합시킵니다.
순서형 반응 모형에 대한 최대 가능도 적합 원칙은 명목형 반응 모형의 경우와 동일합니다. 이 방법은 발생하는 모든 반응의 결합 확률이 모형에서 얻을 수 있는 최대값이 되도록 모수를 추정합니다. 명목형 적합에 비해 더 빠르고 메모리를 절약하는 반복 방법을 사용합니다.
순서형 반응에 대한 가장 단순한 모형은 명목형 반응과 마찬가지로 전체 데이터 테이블에서 반응에 대한 발생률로 적합된 일련의 반응 확률입니다.