모수 신뢰도 데모 탐색기를 사용하여 신뢰도 데모를 위해 시험할 유닛 수를 결정할 수 있습니다. DOE > 표본 크기 탐색기 > 신뢰도 > 모수 신뢰도 데모를 선택합니다. 시간, 유의성, 고장 수 및 시험할 유닛 수 간의 균형을 탐색합니다.
라디오 버튼, 텍스트 상자 및 메뉴를 사용하여 연구 가정을 설정하고 표본 크기를 탐색합니다. 설정을 변경하면 프로파일러가 업데이트됩니다. 또는 프로파일러 곡선 위의 십자기호를 드래그하여 설정을 변경합니다.
예비 정보
알파
유의 수준(1-α)을 지정합니다. 기본 유의 수준은 0.05입니다.
분포
가정된 고장 시간 분포를 지정합니다. 사용 가능한 분포: Weibull 및 로그 정규. 이러한 분포에 대한 자세한 내용은 신뢰성 및 생존 방법의 수명 분포 플랫폼에 대한 통계 상세 정보에서 확인하십시오.
데모 시간
시험 중인 항목이 의도한 신뢰도로 생존해야 하는 최소 시간을 지정합니다.
프로파일러를 사용하면 표본 크기 가정이 신뢰도 데모 연구에 미치는 영향을 시각화할 수 있습니다.
다음 값 계산:
표본 크기, 최대 고장 수, 신뢰도 또는 형상 모수를 계산할 수 있습니다.
시험 시간
데모 시험의 길이를 지정합니다.
표본 크기
데모에 필요한 시험의 총 유닛 수를 지정합니다.
최대 고장 수
성공적인 시험 데모에 허용되는 최대 고장 수를 지정합니다. 최대 고장 수는 표본 크기보다 작아야 합니다.
데모 신뢰도
시험 중인 항목이 신뢰도 표준의 정의된 데모 시간까지 생존할 확률을 지정합니다.
형상 모수
고장 시간 분포의 척도 모수를 지정합니다.
탐색기의 빨간색 삼각형 메뉴와 보고서 버튼은 다음과 같은 추가 옵션을 제공합니다.
데이터 시뮬레이션
탐색기 설정을 기반으로 시뮬레이션된 데이터의 데이터 테이블을 엽니다. 사용된 설정에 대한 시뮬레이션된 반응 열 계산식을 봅니다.
데이터 수집 테이블 생성
데이터 수집에 사용할 수 있는 새 데이터 테이블을 생성합니다. 이 테이블에는 데이터 분석을 쉽게 할 수 있는 스크립트가 포함되어 있습니다.
설정 저장
현재 설정을 "저장된 설정" 테이블에 저장합니다. 이렇게 하면 일련의 대체 연구 계획을 저장할 수 있습니다. 자세한 내용은 표본 크기 탐색기의 저장된 설정에서 확인하십시오.
기본값으로 재설정
모든 모수와 그래프를 기본값으로 재설정합니다.
도움말
JMP 온라인 도움말을 엽니다.
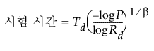
모수 신뢰도 데모 시험의 경우, 제품이 신뢰도 Rd로 데모 시간 Td를 달성하는 것을 보여 주는 데 필요한 시험 시간은 가정된 수명 분포를 사용하여 계산된 성공 확률을 가진 이항 분포에 따라 계산됩니다.
Weibull 분포에 대한 시험 시간은 다음과 같이 계산됩니다.

로그 정규 분포에 대한 시험 시간은 다음과 같이 계산됩니다.

여기서,


c는 데모 중에 허용되는 최대 고장 수입니다.