한 개의 표본 분산에 대한 검정력 탐색기를 사용하여 하나의 분산에 대한 가설 검정을 위해 표본 크기를 결정할 수 있습니다. DOE > 표본 크기 탐색기 > 검정력 > 한 개의 표본 분산에 대한 검정력을 선택합니다. 표본 크기, 검정력, 유의성 및 감지할 가설 차이(귀무가설 값과 대립가설 값 간의 비율로 정의됨) 간의 균형을 탐색합니다. 표본 크기 및 검정력은 다음 가설 검정과 관련됩니다.

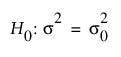
다음 양측 대립가설과 비교

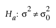
또는 다음 단측 대립가설과 비교
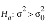
또는 
여기서 s2은 실제 분산이고 s20은 귀무가설 분산 또는 참조 값입니다. 감지할 차이는 표본 집합을 기반으로 감지해야 한다고 간주되는 크기로, s0와의 차이입니다. 이 차이는 대립가설에 따른 가정된 분산과 귀무가설 분산의 비율로 표현됩니다. 동일한 유의 수준과 검정력이 주어진 경우 분산의 큰 차이를 감지하는 것보다 작은 차이를 감지하는 데 더 큰 표본 크기가 필요합니다. 관심 모집단은 평균 m와 표준편차 s2의 정규 분포를 따른다고 가정합니다.
라디오 버튼, 텍스트 상자 및 메뉴를 사용하여 연구 가정을 설정하고 표본 크기를 탐색합니다. 설정을 변경하면 프로파일러가 업데이트됩니다. 또는 프로파일러 곡선 위의 십자기호를 드래그하여 설정을 변경합니다.
검정 유형
단측 또는 양측 가설 검정을 지정합니다.
예비 정보
알파
제1종 오류의 확률, 즉 귀무가설이 참일 때 귀무가설을 기각할 확률을 지정합니다. 일반적으로 검정의 유의 수준이라고 합니다. 기본 유의 수준은 0.05입니다.
프로파일러를 사용하면 표본 크기 가정이 검정력 계산에 미치는 영향을 시각화할 수 있습니다.
다음 값 계산:
표본 크기 또는 분산 비율을 계산할 수 있습니다.
검정력
귀무가설이 거짓일 때 기각할 확률을 지정합니다. 다른 모든 모수가 고정되면 표본 크기가 커질수록 검정력도 증가합니다.
표본 크기
실험에 필요한 총 관측값(런, 실험 단위 또는 표본) 수를 지정합니다.
분산 비율
대립가설 분산(기대 분산)에 대한 귀무가설 분산(참조 값)의 비율을 지정합니다.
탐색기의 빨간색 삼각형 메뉴와 보고서 버튼은 다음과 같은 추가 옵션을 제공합니다.
데이터 시뮬레이션
탐색기 설정을 기반으로 시뮬레이션된 데이터의 데이터 테이블을 엽니다. 사용된 설정에 대한 시뮬레이션된 반응 열 계산식을 봅니다.
데이터 수집 테이블 생성
데이터 수집에 사용할 수 있는 새 데이터 테이블을 생성합니다. 이 테이블에는 데이터 분석을 쉽게 할 수 있는 스크립트가 포함되어 있습니다.
설정 저장
현재 설정을 "저장된 설정" 테이블에 저장합니다. 이렇게 하면 일련의 대체 연구 계획을 저장할 수 있습니다. 자세한 내용은 표본 크기 탐색기의 저장된 설정에서 확인하십시오.
기본값으로 재설정
모든 모수와 그래프를 기본값으로 재설정합니다.
도움말
JMP 온라인 도움말을 엽니다.
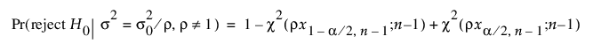
단일 표본 그룹의 분산을 검정하기 위한 검정력 계산은 c2 검정을 기반으로 합니다. 계산은 대립가설의 형태에 따라 다릅니다.
상단측 대립가설의 경우(s2 > s20):

하단측 대립가설의 경우(s < s0):

양측 대립가설의 경우(s ≠ s0):

다음은 각 요소에 대한 설명입니다.
a는 유의 수준입니다.
n은 표본 크기입니다.
r = s2a/s02
x1-α,n은 자유도가 n인 중심 c2 분포의 (1 - a)번째 분위수입니다.
c2(x, n)은 자유도가 n인 중심 c2 분포의 누적 분포 함수입니다.