두 개의 독립 표본 동등성에 대한 검정력 탐색기를 사용하여 두 그룹 평균의 동등성, 우월성 또는 비열등성 검정에 사용할 표본 크기를 결정할 수 있습니다. DOE > 표본 크기 탐색기 > 검정력 > 두 개의 독립 표본 동등성에 대한 검정력을 선택합니다. 변동 가정, 표본 크기, 검정력, 유의성 및 관심 마진 간의 균형을 탐색합니다. 표본 크기 및 검정력은 다음 가설 검정과 관련됩니다.
또는 
다음 대립가설과 비교

여기서 m1 및 m2는 실제 그룹 평균이고 (dm, dM)은 동등성 검정의 동등성 범위입니다. 우월성 또는 비열등성 검정의 경우 단측 대립가설만 사용됩니다. 동일한 유의 수준과 검정력이 주어진 경우 큰 차이를 감지하는 것보다 작은 차이를 감지하기 위해 더 큰 표본 크기가 필요합니다. 관심 모집단은 정규 분포라고 가정합니다.
라디오 버튼, 텍스트 상자 및 메뉴를 사용하여 연구 가정을 설정하고 표본 크기를 탐색합니다. 설정을 변경하면 프로파일러가 업데이트됩니다. 또는 프로파일러 곡선 위의 십자기호를 드래그하여 설정을 변경합니다.
검정 유형
검정을 지정하는 옵션입니다.
동등성
두 그룹의 평균에 대한 동등성 검정을 지정합니다.
우월성
다른 그룹 평균에 대한 한 그룹 평균의 우월성 검정을 지정합니다.
비열등성
다른 그룹 평균에 대한 한 그룹 평균의 비열등성 검정을 지정합니다.
한계 상한
(동등성 검정에만 사용 가능) 평균 차이가 해당 값을 초과할 경우 다르다고 간주되는 최대 값을 지정합니다.
한계 하한
(동등성 검정에만 사용 가능) 평균 차이가 해당 값 미만일 경우 다르다고 간주되는 최소 값을 지정합니다.
대칭 한계 사용
(동등성 검정에만 사용 가능) 마진을 대칭으로 설정합니다.
참고:일반적으로 동등성 마진은 대칭입니다.
검정 방향
(우월성 또는 비열등성 검정에 사용 가능) 대립가설의 방향(목표)을 지정합니다.
값이 높을수록 좋음
대립가설이 가설보다 크다는 것을 나타냅니다.
값이 낮을수록 좋음
대립가설이 가설보다 작다는 것을 나타냅니다.
팁: 검정이 원하는 대로 설정되었는지 평가하려면 다이어그램을 사용합니다. 빨간색 화살표는 귀무가설의 방향을 나타내고 파란색 화살표는 대립가설의 방향을 나타냅니다.
마진
(우월성 또는 비열등성 검정에 사용 가능) 우월성 또는 비열등성 마진을 지정합니다.
예비 정보
검정에 지정할 옵션입니다.
알파
제1종 오류의 확률, 즉 귀무가설이 참일 때 귀무가설을 기각할 확률입니다. 일반적으로 검정의 유의 수준이라고 합니다. 기본 유의 수준은 0.05입니다.
모표준편차
계산의 분포를 지정합니다.
예
알려진 그룹 표준편차를 지정하고 계산에 z 분포를 사용합니다.
아니요
알려지지 않은 그룹 표준편차를 지정하고 계산에 t 분포를 사용합니다.
프로파일러를 사용하면 표본 크기 가정이 검정력 계산에 미치는 영향을 시각화할 수 있습니다.
총 표본 크기
실험에 필요한 총 관측값(런, 실험 단위 또는 표본) 수를 지정합니다. 총 표본 크기를 잠그려면 잠금을 선택합니다.
다음 값 계산:
표본 크기, 감지할 차이 또는 그룹 표준편차를 계산할 수 있습니다.
검정력
귀무가설이 거짓일 때 기각할 확률을 지정합니다. 다른 모든 모수가 고정되면 표본 크기가 커질수록 검정력도 증가합니다.
그룹 1 표본 크기
실험에서 그룹 1에 필요한 관측값(런, 실험 단위 또는 표본) 수를 지정합니다.
그룹 2 표본 크기
실험에서 그룹 2에 필요한 관측값(런, 실험 단위 또는 표본) 수를 지정합니다.
감지할 차이
그룹 평균 간에 통계적으로 유의하다고 선언할 수 있는 최소 차이를 지정합니다.
그룹 1 표준편차(s1)
그룹 중 하나인 그룹 1의 가정된 표준편차를 지정합니다. 오차 표준편차의 추정값은 이전 모형 적합에서 구한 RMSE(제곱근 평균 제곱 오차)일 수 있습니다.
그룹 2 표준편차(s1)
두 번째 그룹인 그룹 2의 가정된 표준편차를 지정합니다. 오차 표준편차의 추정값은 이전 모형 적합에서 구한 RMSE(제곱근 평균 제곱 오차)일 수 있습니다.
참고: 총 표본 크기가 잠겨 있지 않은 경우 한 그룹의 표본 크기를 조정하면 총 표본 크기가 조정됩니다. 총 표본 크기가 잠겨 있는 경우 한 그룹의 표본 크기를 조정하면 두 번째 그룹의 표본 크기가 조정됩니다. 텍스트 상자를 사용하여 그룹 표본 크기를 지정할 수 있습니다.
탐색기의 빨간색 삼각형 메뉴와 보고서 버튼은 다음과 같은 추가 옵션을 제공합니다.
데이터 시뮬레이션
탐색기 설정을 기반으로 시뮬레이션된 데이터의 데이터 테이블을 엽니다. 사용된 설정에 대한 시뮬레이션된 반응 열 계산식을 봅니다.
데이터 수집 테이블 생성
데이터 수집에 사용할 수 있는 새 데이터 테이블을 생성합니다. 이 테이블에는 데이터 분석을 쉽게 할 수 있는 스크립트가 포함되어 있습니다.
설정 저장
현재 설정을 "저장된 설정" 테이블에 저장합니다. 이렇게 하면 일련의 대체 연구 계획을 저장할 수 있습니다. 자세한 내용은 표본 크기 탐색기의 저장된 설정에서 확인하십시오.
기본값으로 재설정
모든 모수와 그래프를 기본값으로 재설정합니다.
도움말
JMP 온라인 도움말을 엽니다.
두 그룹 평균의 동등성을 검정하기 위한 검정력 계산은 Chow et al. (2008)에 설명된 방법을 기반으로 합니다.
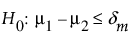
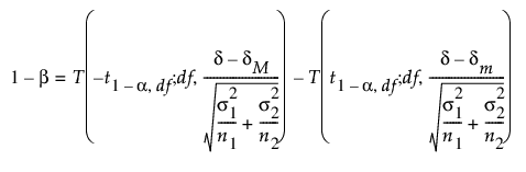
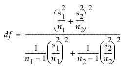
s1과 s2가 알려지지 않은 경우 검정력(1-b)은 다음과 같이 계산됩니다.

다음은 각 요소에 대한 설명입니다.

a는 유의 수준입니다.
n1과 n2는 그룹 표본 크기입니다.
s1과 s2는 가정된 그룹 표준편차입니다.
d는 감지할 차이입니다.
(dm, dM)는 동등성 범위입니다.
t1-α,ν은 자유도가 n인 중심 t 분포의 (1 - a)번째 분위수입니다.
T(t; n, l)는 자유도가 n이고 비중심성 모수 l가 있는 비중심 t 분포의 누적 분포 함수입니다.
s가 알려진 경우 검정력(1-b)은 다음과 같이 계산됩니다.
