"최소 제곱 적합" 보고서의 "Press" 옵션은 예측 오차 제곱합 통계량을 나타내며, 이는 leave-one-out 교차 검증을 사용하여 계산된 예측 오차의 추정값입니다. leave-one-out 교차 검증에서는 각 관측값이 차례로 제거됩니다. 특정 관측값을 예로 들겠습니다. 관측값을 주지 않고 모형을 적합시킨 후 이 관측값에 대한 예측값을 계산합니다. 해당 관측값에 대한 잔차가 계산됩니다. 이 절차가 모든 관측값에 적용되며 잔차의 제곱합이 계산되어 Press 값을 제공합니다.
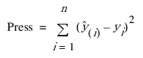
특히 Press SSE(오차 제곱합) 통계량은 다음과 같이 구합니다.

여기서 n은 관측값 수, yi는 i번째 관측값의 반응 관측값,
는 i번째 관측값의 반응 예측값입니다. 이러한 값은 해당 관측값을 포함하지 않은 모형 적합을 기반으로 합니다.
Press RMSE는
으로 정의됩니다.
Press R²은 1 - Press/SSTotal로 정의됩니다.
"Press" 보고서에는 전체 모형에 대한 SSE, RMSE 및 R² 값도 포함됩니다. 전체 모형에 대한 통계량은 "보통" 라벨이 지정된 행에 있습니다.