시그마 품질 수준에 대한 품질 탐색기를 사용하여 결함 수, 결함 기회 수 및 시그마 품질 수준 간의 관계를 탐색할 수 있습니다. 시그마 품질 수준은 주어진 결함 비율을 6시그마 척도와 관련짓는 통계량입니다. 예를 들어 백만 개의 기회별 3.4 결함 비율은 6시그마 공정이 됩니다. DOE > 표본 크기 탐색기 > 품질 > 시그마 품질 수준을 선택합니다.
프로파일러를 사용하면 표본 크기 가정이 시그마 품질 수준 계산에 미치는 영향을 시각화할 수 있습니다.
다음 값 계산:
기회 수 또는 결함 수를 계산할 수 있습니다.
시그마 품질 수준
표준편차 단위의 결함 비율입니다.
기회 수
결함에 대한 기회 수입니다.
결함 수
결함 수입니다.
탐색기의 빨간색 삼각형 메뉴와 보고서 버튼은 다음과 같은 추가 옵션을 제공합니다.
데이터 시뮬레이션
탐색기 설정을 기반으로 시뮬레이션된 데이터의 데이터 테이블을 엽니다. 사용된 설정에 대한 시뮬레이션된 반응 열 계산식을 봅니다.
데이터 수집 테이블 생성
데이터 수집에 사용할 수 있는 새 데이터 테이블을 생성합니다. 이 테이블에는 데이터 분석을 쉽게 할 수 있는 스크립트가 포함되어 있습니다.
설정 저장
현재 설정을 "저장된 설정" 테이블에 저장합니다. 이렇게 하면 일련의 대체 연구 계획을 저장할 수 있습니다. 자세한 내용은 표본 크기 탐색기의 저장된 설정에서 확인하십시오.
기본값으로 재설정
모든 모수와 그래프를 기본값으로 재설정합니다.
도움말
JMP 온라인 도움말을 엽니다.
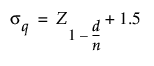
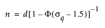
시그마 품질 계산기의 계산은 n개 기회 중 d개 결함에 대한 시그마 품질 수준 sq의 정의를 기반으로 합니다.

이 정의에서 d와 n은 다음과 같이 계산할 수 있습니다.


여기서 F()는 표준 정규 누적 분포 함수이고 Z1-d/n는 표준 정규 분포의 (1 - d/n)번째 분위수입니다.