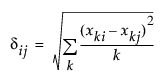
데이터 테이블이 속성 목록인 경우 거리 행렬로 변환된 후 다차원 척도법이 적용됩니다. 거리 행렬은 유클리드 거리를 사용하여 계산됩니다. 각 항목 쌍에 대해 다음 계산식을 사용하여 항목 간의 거리를 정의합니다.

여기서 k는 속성 수입니다. 측도가 동일한 척도를 사용한다고 가정합니다.
참고: MDS 플랫폼에 대한 고급 예는 San Francisco Crime Distances.jmp 샘플 데이터 테이블과 해당 테이블의 소스 스크립트를 참조하십시오. 이 스크립트는 쌍별 상관을 사용하여 거리 행렬을 생성합니다. 그런 다음 결과 거리 행렬을 사용하여 범죄 범주 간의 관계를 탐색합니다.