이 섹션에는 모형 적합 플랫폼의 다변량 분산분석에 사용되는 정준 계산에 대한 상세 정보가 포함되어 있습니다.
지정된 검정에 대해 "검정 상세 정보" 옵션을 선택하면 고유값, 정준 상관 및 고유 벡터가 보고서에 표시됩니다.
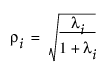
"검정 상세 정보" 옵션에 의해 생성된 정준 상관은 다음과 같이 계산됩니다.

여기서 li는 다변량 검정 통계량을 계산하는 데 사용되는 E-1H 행렬의 i번째 고유값입니다.
고유 벡터 라벨이 표시된 행렬은 지정된 검정에 대한 E-1H의 고유 벡터 행렬인 V 행렬입니다.
참고: 지정된 검정의 E 및 H 행렬은 원래 E 및 H 행렬을 기준으로 M¢EM 및 M¢HM을 나타냅니다. M 행렬은 반응 설계에 의해 정의됩니다. 이 섹션에 사용된 E 및 H는 다변량 검정에 대한 통계 상세 정보에 정의되어 있습니다.
총 표본 중심 및 효과의 중심값은 다음과 같이 계산됩니다.
총 = 
효과j = 
다음은 각 요소에 대한 설명입니다.

N - 관측값 수
vi - 지정된 검정에 대한 E-1H 의 고유 벡터 행렬인 V의 i번째 열
- j번째 효과의 다변량 최소 제곱 평균
- 반응의 전체 평균
g - 0보다 큰 E-1H의 고유값 수
r - X 행렬의 계수
참고: 지정된 검정의 E 및 H 행렬은 원래 E 및 H 행렬을 기준으로 M¢EM 및 M¢HM을 나타냅니다. M 행렬은 반응 설계에 의해 정의됩니다. 이 섹션에 사용된 E 및 H는 다변량 검정에 대한 통계 상세 정보에 정의되어 있습니다.
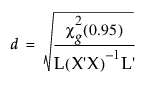
효과에 대한 중심 반지름은 다음과 같이 계산됩니다.

여기서 g는 0보다 큰 E-1H의 고유값 수이고, 분모의 L 행렬은 다변량 최소 제곱 평균 계산에서 가져옵니다.
정준 Y 값은 다음과 같이 계산됩니다.

다음은 각 요소에 대한 설명입니다.
Y - 반응 변수의 행렬
M¢ - 반응 설계 행렬의 전치
V - 지정된 검정에 대한 E-1H의 고유 벡터 행렬
참고: 지정된 검정의 E 및 H 행렬은 원래 E 및 H 행렬을 기준으로 M¢EM 및 M¢HM을 나타냅니다. M 행렬은 반응 설계에 의해 정의됩니다. 이 섹션에 사용된 E 및 H는 다변량 검정에 대한 통계 상세 정보에 정의되어 있습니다.
0보다 큰 고유값에 해당하는 고유 벡터에 대해 정준 Y 값이 저장됩니다.