이 섹션에는 표준 최소 제곱 모형의 추정값 상관계수에 대한 상세 정보가 포함되어 있습니다. 관측값 n개와 예측 변수 p–1개가 있는 데이터 집합을 예로 들겠습니다. 행렬 X를 설계 행렬로 정의합니다. 즉, X는 첫 번째 열이 1로 구성되고, 나머지 p–1개 열이 p–1개의 예측 변수 값으로 구성된 n x p 행렬입니다. 명목형 열은 표시자 예측 변수를 기준으로 코드화됩니다. 각 열은 행렬 X의 열입니다.
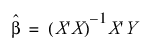
회귀 계수 벡터의 추정값은 다음과 같습니다.

여기서 Y는 반응 값의 벡터를 나타냅니다.
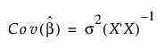
일반적인 회귀 가정에서
의 공분산 행렬은 다음과 같습니다.

여기서 s2은 반응의 분산을 나타냅니다.
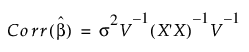
추정값에 대한 상관 행렬은 공분산 행렬의 각 항목을 대각 항목의 제곱근의 곱으로 나누어 얻습니다. 다음과 같이 V를 대각 행렬이 되도록 정의합니다. 이 행렬의 각 항목은 공분산 행렬의 대각 항목에 대한 제곱근입니다.

그러면 모수 추정값에 대한 상관 행렬이 다음과 같이 지정됩니다.
