"다변량" 빨간색 삼각형 메뉴의 "항목 신뢰도" 옵션에 사용되는 통계량은 Cronbach a입니다. Cronbach a는 다음과 같이 정의됩니다.

다음은 각 요소에 대한 설명입니다.
k = 척도의 항목 수
c = 항목 간의 평균 공분산
v = 항목 간의 평균 분산
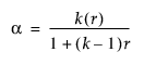
항목이 일정한 분산을 가지도록 표준화되는 경우 계산식은 다음과 같습니다.

다음은 각 요소에 대한 설명입니다.
r = 항목 간의 평균 상관
전체 a 계수가 클수록 항목이 신뢰할 수 있는 척도 또는 검정에 기여한다는 것을 더 확신할 수 있습니다. 상관관계가 높은 항목이 많은 경우 계수가 1.0에 근접할 수 있습니다.