이 섹션에서는 CUSUM 차트 생성에 사용되는 통계량을 정의합니다. 이 중 일부 통계량은 "요약 저장" 명령을 사용하여 생성되는 데이터 테이블에도 저장됩니다.
C+ 및 C-의 정의는 "데이터 단위" 옵션 설정에 따라 달라집니다.
참고: 요약 저장 데이터 테이블에서 C+와 C-에는 각각 상위 누적합과 하위 누적합이라는 라벨이 지정됩니다.
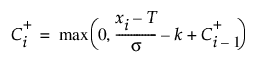
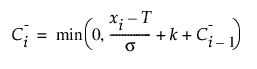
"데이터 단위" 옵션을 선택하지 않은 경우 각 단계의 C+ 및 C-는 다음과 같이 정의됩니다.


다음은 각 요소에 대한 설명입니다.
xi = i번째 단계의 반응 값
T = 공정의 목표값
s = 공정의 표준편차
k = 표준편차 단위로 표현된 참조 값
"시작값"에 값을 지정하는 경우 해당 값이 초기 C+ 값으로 사용되고, 이 값의 음수 값이 초기 C- 값으로 사용됩니다. 그렇지 않은 경우 C+와 C-의 초기값은 0입니다.
"데이터 단위" 옵션을 선택한 경우 각 단계의 C+ 및 C-는 다음과 같이 정의됩니다.


다음은 각 요소에 대한 설명입니다.
xi = i번째 단계의 반응 값
T = 공정의 목표값
s = 공정의 표준편차
K = 데이터 단위로 표현된 참조 값
"시작값"에 값을 지정하는 경우 해당 값이 초기 C+ 값으로 사용되고, 이 값의 음수 값이 초기 C- 값으로 사용됩니다. 그렇지 않은 경우 C+와 C-의 초기값은 0입니다.
각 단계에서 N+는 C+에 대한 가장 최근 0 값 이후의 단계 수입니다. 각 단계에서 N-는 C-에 대한 가장 최근 0 값 이후의 단계 수입니다.
참고: 요약 저장 데이터 테이블에서 N+와 N-에는 각각 양의 런과 음의 런이라는 라벨이 지정됩니다.