이 섹션에서는 "계층적 군집화" 시작 창에서 선택한 방법을 기반으로 거리를 계산하는 데 사용되는 계산식을 제공합니다. 방법에 대한 설명은 방법에서 확인하십시오.
계산식에는 다음 표기가 사용됩니다. 여기서 소문자 기호는 일반적으로 관측값과 관련되고 대문자 기호는 군집과 관련됩니다.
n = 관측값 수
v = 변수 수
xi = i번째 관측값
CK = K번째 군집({1, 2,..., n}의 부분집합)
NK = CK의 관측값 수
= 표본 평균 벡터
= CK 군집의 평균 벡터
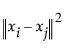
= x 요소의 제곱합 제곱근(x 벡터의 유클리드 길이)
d(xi, xj) =
평균 연결법
평균 연결 군집 방법의 거리는 다음과 같습니다.

중심 방법
중심 군집화 방법의 거리는 다음과 같습니다.

Ward
Ward 방법의 거리는 다음과 같습니다.

단일 연결법
단일 연결 군집 방법의 거리는 다음과 같습니다.

완전 연결법
완전 연결 군집 방법의 거리는 다음과 같습니다.
