외삽 제어 측정 기준에 대한 통계 상세 정보예측 프로파일러의 "외삽 제어" 옵션에는 점의 외삽 여부를 확인하는 데 사용되는 두 가지 측정 기준이 있습니다. 사용되는 측정 기준 유형은 모형 적합 유형에 따라 다릅니다.
모형 적합 플랫폼의 표준 최소 제곱 분석법으로 적합된 모형에서는 요인 설정의 레버리지가 기본 외삽 측정 기준으로 사용됩니다.
i번째 관측값의 레버리지 hii는 해트 행렬이라고도 하는 X(X¢X)-1X¢ 행렬의 i번째 대각 항목입니다. 새 예측 점에 대한 레버리지는 hpred = x¢pred(X¢X)-1xpred로 계산됩니다. 레버리지를 사용한 예측(hpred)이 외삽인지 여부를 결정하기 위해 다음 두 가지 기준을 사용할 수 있습니다.
• hpred > K ´ max(hii). 여기서 K는 사용자 정의 가능한 승수입니다.
• hpred > L ´ p/n. 여기서 L은 사용자 정의 가능한 승수, p는 변수 수, n은 관측값 수, p/n는 평균 레버리지입니다.
"임계값 기준 설정" 옵션을 사용하여 승수 값 및 사용할 기준을 지정할 수 있습니다. 승수의 기본값은 K = 1, L = 3입니다.
참고: 저장된 최소 제곱 모형을 사용하여 그래프 메뉴에서 실행되는 프로파일러의 외삽 제어는 레버리지 방법론을 구현하지 않습니다. 대신 정규화 Hotelling T2 방법론이 사용됩니다.
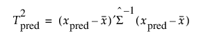
최소 제곱 모형을 제외한 다른 모형에서는 정규화 Hotelling T2 값이 기본 외삽 측정 기준으로 사용됩니다. 훈련 데이터의 T2 값과 예측 점의 T2 값은 다음과 같이 계산됩니다.


여기서
는 훈련 데이터에 대해 추정된 Schafer & Strimmer 정규화 공분산 행렬 추정량입니다. Schafer Strimmer 추정량에 사용되는 목표 행렬은 대각 공분산 행렬입니다. 자세한 내용은 Schafer & Strimmer(2005)에서 확인하십시오. 결측값이 있는 관측값을 사용하여 모형을 훈련하는 플랫폼에서는 쌍별 제거를 통해 공분산 행렬이 추정됩니다.
참고: 범주형 변수는 이러한 계산을 위해 표시 변수로 변환됩니다.
임계값 계산은 훈련 데이터에서 계산된 비결측 T2 값의 개수에 따라 달라집니다.
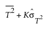
• 비결측 T2 값이 10개 이상인 경우 임계값은 다음과 같이 설정됩니다.

여기서,
K = 사용자 정의 가능한 승수이며 기본적으로 3으로 설정됩니다.
= T2 값의 표준편차입니다.
• 비결측 T2 값이 10개 미만인 경우 임계값은 Ks 한계에 해당하는 F 분포 분위수를 사용하여 설정됩니다.

여기서,
q = F(K)
F(·) = 표준 정규 분포입니다.
K = 사용자 정의 가능한 승수이며 기본적으로 3으로 설정됩니다.

p = 모수의 개수입니다.
n = 비결측 T2 값의 개수입니다.
"K 최근접 이웃"을 외삽 유형 옵션으로 선택하면 k개의 최근접 이웃 거리를 사용하여 외삽 측정 기준과 임계를 모두 계산합니다. 이 방법에는 다음 표기가 사용됩니다.
= 표준화된 예측 변수의 행렬
xi = 데이터의 i번째 점
n = 관측값 수
p = 예측 변수 수
k = 근접 이웃 수
d(x, x¢) = 두 점 사이의 유클리드 거리
= i번째 점 xi의 k번째 최근접 이웃
x로 정의된 요인 설정의 경우 외삽 측정 기준은 d(x, x(1))입니다. 이것은 요인 설정으로 정의된 점과 데이터에서 첫 번째 최근접 이웃 사이의 거리입니다. 임계는 다음 방정식을 사용하여 설정됩니다.

여기서,
= 모든 점과 k개 이웃 사이의 쌍별 거리에 대한 평균
= 모든 점과 k개 이웃 사이의 쌍별 거리에 대한 표준편차