품질 및 공정 방법 > 관리도 빌더 > 관리도 빌더에 대한 통계 상세 정보 > Levey-Jennings 차트에 대한 통계 상세 정보
발행일 : 03/10/2025

Levey-Jennings 차트에 대한 통계 상세 정보

Levey-Jennings 차트는 관리도 빌더에서 사용할 수 있으며, 장기 시그마를 기반으로 한 관리 한계와 공정 평균을 보여 줍니다. 관리 한계는 중심선에서 K*s 거리에 배치되며 기본적으로 K = 3입니다.

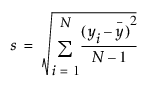
Levey-Jennings 차트에 대한 표준편차 s는 분포 플랫폼의 표준편차와 동일한 방식으로 계산됩니다.

Equation shown here

자세한 내용은 Levey and Jennings(1950) 및 Westgard(2002) 연구 자료에서 확인하십시오.

더 많은 정보를 원하십니까? 질문이 있습니까? JMP 사용자 커뮤니티에서 답변 받기 (community.jmp.com).