다변량 플랫폼에서는 Spearman, Kendall 또는 Hoeffding 상관이라는 세 가지 비모수 연관성 측도를 제공합니다. 이러한 상관을 계산하기 위해 먼저 데이터에 순위를 매깁니다. 그런 다음 데이터 값 순위에 대해 계산이 수행됩니다. 동점일 경우 평균 순위가 사용됩니다.
참고: 가중치 변수가 지정된 경우 결측 및 0 값 가중치는 비모수 상관 계산에서 제외됩니다. 다른 모든 가중치 값은 1로 처리됩니다.
Spearman r 상관계수는 앞에서 설명한 Pearson 상관 계산식을 사용하여 데이터 순위에 대해 계산됩니다.
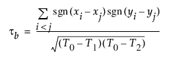
Kendall tb 계수는 부합/비부합 쌍의 개수를 기반으로 합니다. 두 변수의 행 쌍은 더 큰 변수가 일치할 때 부합 쌍입니다. 그렇지 않은 경우 비부합 쌍 또는 동점입니다.
아래 계산식은

Kendall tb를 계산합니다. 다음은 각 요소에 대한 설명입니다.

다음 사항에 유의하십시오.
• sgn(z)은 z > 0인 경우 1, z = 0인 경우 0, z < 0인 경우 –1입니다.
• ti(ui)는 동점 x(각 y) 값의 i번째 그룹에서 동점 x(각 y) 값의 수입니다.
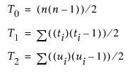
• n은 관측값 수입니다.
• Kendall tb의 범위는 –1 ~ 1입니다. 가중치 변수가 지정되면 무시됩니다.
계산은 다음과 같은 방식으로 진행됩니다.
• 첫 번째 변수의 값에 따라 순서대로 관측값 순위가 매겨집니다.
• 그런 다음 두 번째 변수의 값에 따라 관측값 순위가 다시 매겨집니다.
• 첫 번째 변수의 교환 횟수를 사용하여 Kendall tb를 계산합니다.
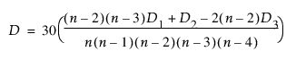
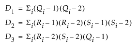
Hoeffding D(1948) 계산식은 다음과 같습니다.

다음은 각 요소에 대한 설명입니다.

다음 사항에 유의하십시오.
• Ri와 Si는 x 및 y 값의 순위입니다.
• Qi(이변량 순위라고도 함)는 x 값과 y 값이 모두 i번째 점보다 작은 점의 수에 1을 더한 값입니다.
• x 값 또는 y 값 중 하나만 같은 점은 다른 값이 i번째 점의 해당 값보다 작으면 Qi에 1/2을 적용합니다. x와 y 둘 다 같은 점은 Qi에 1/4을 적용합니다.
관측값 중에서 동점이 없으면 D 통계량의 값은 –0.5에서 1 사이이며, 여기서 1은 완전 종속을 나타냅니다. 가중치 변수가 지정되면 무시됩니다.