이 섹션에는 모형 적합 플랫폼에서 계산된 승산비에 대한 상세 정보가 포함되어 있습니다.
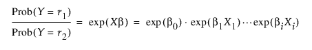
두 개의 반응 수준에 대한 로지스틱 회귀 모형은 다음과 같이 지정됩니다.
여기서, r1과 r2는 두 반응 수준입니다.
따라서 승산은 다음과 같이 정의됩니다.

exp(bi(Xi + 1)) = exp(biXi) exp(bi)입니다. 즉, Xi가 단위 양만큼 변경되면 승산에 exp(bi)를 곱하고 이를 단위 승산비라고 합니다. Xi가 전체 범위에 대해 변경되면 승산에 ((Xhigh - Xlow)bi)를 곱하고 이를 범위 승산비라고 합니다. 이항 반응의 경우 반전된 반응 수준의 로그 승산비는 모수의 부호만 변경됩니다. 따라서 보고된 값의 역수를 첫 번째 반응 수준 대신 마지막 수준에 초점을 맞출 수 있습니다.
2수준 명목형 효과는 첫 번째 수준과 두 번째 수준에 대해 각각 1과 -1로 코드화되므로 범위 승산비 또는 역수가 중요합니다.
가능도비 검정을 완료하는 데 20초를 초과할 것으로 예상되는 경우를 제외하고 승산비 옵션을 선택하면 승산비에 대해 프로파일 가능도 기반 신뢰 구간이 생성됩니다. 이 경우에는 승산비 옵션이 승산비에 대해 Wald 기반 신뢰 구간을 생성합니다. 승산비에 대한 신뢰 구간을 계산하는 데 사용된 방법이 승산비 보고서 하단에 표시됩니다.