주성분 플랫폼에서 "이상치 분석" 보고서의 계산에 다음 표기가 사용됩니다.
n = 관측값 수
A = 주성분 수
Xci = i번째 관측값에 대한 표준화된 데이터
i번째 관측값에 대한 T2 통계량은 다음과 같이 계산됩니다.

여기서 PA는 처음 A개 고유 벡터를 포함하는 행렬이고, L은 처음 A개 고유값을 포함하는 대각 행렬입니다.
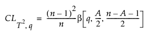
T2 그림의 중앙값과 UCL은 다음과 같이 계산됩니다.

여기서,
베타
분포의 q번째 분위수
중앙값을 계산하려면 q = 0.5를 사용합니다. UCL을 계산하려면 q = (1 - a)를 사용합니다.
기여도 통계량에 대한 자세한 내용은 품질 및 공정 방법의 기여도에 대한 통계 상세 정보에서 확인하십시오.