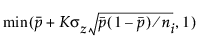
관리도 빌더에서 다음 계산식을 사용하여 LCL(관리 하한)과 UCL(관리 상한)이 각각 계산됩니다.
P 차트 LCL = 
P 차트 UCL = 
NP 차트 LCL = 
NP 차트 UCL = 
Laney P¢ 차트 LCL = 
Laney P¢ 차트 UCL = 
다음은 각 요소에 대한 설명입니다.
= 전체 부분군에 대한 부적합품의 평균 비율

ni = i번째 부분군의 항목 수
K = 시그마 승수(기본값 3)
sz = 표준화된 값에서 계산된 이동 범위 시그마