이 섹션에서는 부분 최소 제곱 플랫폼에서 예측 및 신뢰 한계의 표준 오차 계산에 대해 설명합니다. X를 예측 변수 행렬로 나타내고 Y를 반응 값 행렬로 나타냅니다. 이러한 값은 시작 창에서 선택한 항목에 따라 중심화 및 척도화될 수 있습니다. Y의 성분은 공통 분산이 s2인 독립 정규 분포를 따른다고 가정합니다.
Hoskuldsson(1988)은 Y에 대한 PLS 모형을 스코어 관점으로 보면 다중 선형 회귀 모형과 형식적으로 유사하다는 것을 발견했습니다. 또한 이 유사성을 사용하여 예측값의 분산에 대한 근사 계산식을 도출했습니다. Umetrics(1995) 연구 자료도 확인하십시오. 그러나 Denham(1997)은 PLS에 의해 예측된 값은 Y의 비선형 함수임을 지적했습니다. 또한 예측 구간을 얻기 위해 붓스트랩 및 교차 검증 기법을 제안했습니다. PLS 플랫폼에서는 Umetrics(1995)에 설명된 정규성 기반 방식을 사용합니다.
열에 스코어가 포함된 행렬을 T로 나타내고 X의 새 관측값 x0을 예로 들어보겠습니다. Y에 대한 예측 모형은 T를 기반으로 Y를 모델링하는 회귀를 통해 얻습니다. x0과 관련된 스코어 벡터를 t0으로 나타냅니다.
a가 요인 수를 나타낸다고 하겠습니다. s2을 df = n - a -1(데이터가 중심화된 경우) 및 df = n - a(데이터가 중심화되지 않은 경우)로 나눈 잔차 제곱합으로 정의합니다. s2 값은 s2의 추정값입니다.
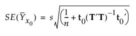
x0에서 예측 평균의 표준 오차는 다음과 같이 추정됩니다.

t0.975, df를 자유도가 df = n - a -1(데이터가 중심화된 경우) 및 df = n - a(데이터가 중심화되지 않은 경우)인 t 분포의 0.975 분위수를 나타낸다고 하겠습니다.
평균에 대한 95% 신뢰 구간은 다음과 같이 계산됩니다.

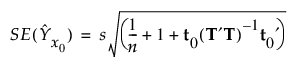
x0에서 예측된 개별 반응의 표준 오차는 다음과 같이 추정됩니다.

t0.975, df를 자유도가 df = n - a -1(데이터가 중심화된 경우) 및 df = n - a(데이터가 중심화되지 않은 경우)인 t 분포의 0.975 분위수를 나타낸다고 하겠습니다.
개별 반응에 대한 95% 신뢰 구간은 다음과 같이 계산됩니다.
