요인 값을 잘 제어할 수 없는 경우 요인 값의 변동 측면에서 반응의 변동을 설명할 때 POE(오차 전파)가 중요합니다.
JMP에서 구현되는 예측 프로파일러는 먼저 요인 및 반응 변수를 검토하여 "시그마" 열 특성(열의 표준편차 규격으로, 열 > 열 정보 창을 통해 액세스할 수 있음)이 있는지 확인합니다. 이 특성이 있으면 "예측 프로파일러" 드롭다운 메뉴에서 "오차 막대 지지선" 명령에 액세스할 수 있습니다. 이 명령은 요인의 변동으로 인해 반응에 내재된 3s 구간을 표시합니다.
그림 3.43 예측 프로파일러의 녹색 오차 막대 전파
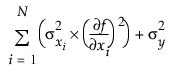
POE는 그래프에서 녹색 대괄호로 표시됩니다. 대괄호는 예측에 POE 분산에 대한 제곱근의 3배를 더하거나 빼는 값을 나타냅니다. POE 분산은 다음과 같이 표현할 수 있습니다.

여기서 σy는 반응 열에 대해 사용자가 지정한 시그마이고 σx는 요인 열에 대해 사용자가 지정한 시그마입니다.
현재 이러한 편도함수는 수치 미분에 의해 계산됩니다.
중심화, d=xrange/10000
반응 표면의 더 경사진 부분 위에 있을 때 반응 표면 모형에서 POE 한계가 크게 증가합니다. 로버스트 공정의 목표 중 하나는 반응 표면의 편평한 영역에서 작동하여 요인의 변동이 반응에 미치는 영향이 확대되지 않도록 하는 것입니다.