이 섹션에서는 관리도 빌더에서 단기 런 관리도의 관리 한계를 계산하는 방법을 설명합니다. 자세한 내용은 Wise and Fair(2006)에서 확인하십시오.
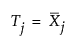
"제품 통계량" 테이블에는 각 제품의 목표값 및 시그마 값이 제공됩니다. 제품 목표값 Tj는 제품 j에 대한 관측값의 추정된 평균 값입니다. 제품 시그마 sj는 각 제품에 대한 추정된 표준편차입니다. 제품 목표값 및 제품 시그마 값은 다음 계산식을 사용하여 계산됩니다.


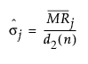
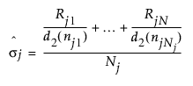
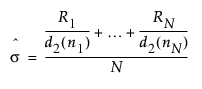
부분군이 지정된 경우 다음 계산식을 사용하여 제품 시그마가 계산됩니다.

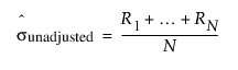
부분군이 지정되고 부분군 크기가 동일하지 않은 경우 다음 계산식을 사용하여 전체 비수정 시그마가 계산됩니다.

제품/부품 변수가 지정되지 않은 경우 다음 계산식을 사용하여 계산된 전체 평균 및 추정된 표준편차가 테이블에 표시됩니다.


다음은 각 요소에 대한 설명입니다.
= 제품 j에 대한 비결측 이동 범위의 평균
= 비결측 이동 범위의 평균
d2(n) = 단위 표준편차를 갖는 n개 독립 정규 분포 변수의 범위 기대값
nji = 부품 j에 대한 i번째 부분군의 표본 크기
Rji = 부품 j에 대한 i번째 부분군의 범위
Nj = 부품 j의 부분군 수(nij ≥ 2)
Ri = i번째 부분군의 범위
N = 부분군 수(ni ≥ 2)
목표값 및 시그마 값은 단기 런 관리도의 점을 계산하는 데 사용됩니다. 중심화 차트의 경우 각 관측값은 해당 제품의 목표값을 빼서 중심화됩니다. 표준화 차트의 경우 각 관측값은 해당 제품의 목표값을 빼고 제품 시그마 값으로 나누어 표준화됩니다.
단기 런 차이 차트의 관리 한계는 다음과 같이 계산됩니다.
단기 런 차이 차트의 LCL = 
단기 런 차이 차트의 CL = 
단기 런 차이 차트의 UCL = 
중심화된 단기 런 이동 범위 차트의 관리 한계는 다음과 같이 계산됩니다.
중심화된 단기 런 MR 차트의 LCL = 0
중심화된 단기 런 MR 차트의 CL = 
중심화된 단기 런 MR 차트의 UCL = 
중심화된 단기 런 차이 및 이동 범위 차트의 표준편차는 다음과 같이 추정됩니다.

다음은 각 요소에 대한 설명입니다.
= 중심화된 측정값의 평균
K = 시그마 승수(기본값 3)
= 비결측 이동 범위의 평균
d2(n) = 단위 표준편차를 갖는 n개 독립 정규 분포 변수의 범위 기대값
d3(n) = 단위 표준편차를 갖는 n개 독립 정규 분포 변수의 범위 표준편차
참고: 관리도 빌더의 이동 범위 차트에는 n = 2 범위 길이가 사용됩니다.
단기 런 Z 차트의 관리 한계는 다음과 같이 계산됩니다.
단기 런 Z 차트의 LCL = 
단기 런 Z 차트의 CL = 0
단기 런 Z 차트의 UCL = 
표준화된 단기 런 이동 범위 차트의 관리 한계는 다음과 같이 계산됩니다.
표준화된 단기 런 MR 차트의 LCL = 
표준화된 단기 런 MR 차트의 CL = 1
표준화된 단기 런 MR 차트의 UCL = 
다음은 각 요소에 대한 설명입니다.
K = 시그마 승수(기본값 3)
d2(n) = 단위 표준편차를 갖는 n개 독립 정규 분포 변수의 범위 기대값
d3(n) = 단위 표준편차를 갖는 n개 독립 정규 분포 변수의 범위 표준편차
참고: 관리도 빌더의 이동 범위 차트에는 n = 2 범위 길이가 사용됩니다.
단기 런 Z 차트의 중심선은 0이고 표준화된 데이터에 대한 단기 런 이동 범위 차트의 중심선은 1입니다.
단기 런 평균 차이 차트의 관리 한계는 다음과 같이 계산됩니다.
단기 런 평균 차이 차트의 LCL = 
단기 런 평균 차이 차트의 CL = 
단기 런 평균 차이 차트의 UCL = 
중심화된 단기 런 범위 차트의 관리 한계는 다음과 같이 계산됩니다.
중심화된 단기 런 R 차트의 LCL = 
중심화된 단기 런 R 차트의 CL = 
중심화된 단기 런 R 차트의 UCL = 
중심화된 단기 런 차이 및 범위 차트의 표준편차는 다음과 같이 추정됩니다.

다음은 각 요소에 대한 설명입니다.
= 부분군 차이의 가중 평균
K = 시그마 승수(기본값 3)
ni = i번째 부분군의 표본 크기
d2(n) = 단위 표준편차를 갖는 n개 독립 정규 분포 변수의 범위 기대값
d3(n) = 단위 표준편차를 갖는 n개 독립 정규 분포 변수의 범위 표준편차
= 비결측 범위의 평균
Ri = i번째 부분군의 범위
N = 부분군 수(ni ≥ 2)
단기 런 Z 차트의 관리 한계는 다음과 같이 계산됩니다.
단기 런 Z 차트의 LCL = 
단기 런 Z 차트의 CL = 0
단기 런 Z 차트의 UCL = 
표준화된 단기 런 범위 차트의 관리 한계는 다음과 같이 계산됩니다.
표준화된 단기 런 R 차트의 LCL = D3
표준화된 단기 런 R 차트의 CL = 1
표준화된 단기 런 R 차트의 UCL =
다음은 각 요소에 대한 설명입니다.
K = 시그마 승수(기본값 3)
ni = i번째 부분군의 표본 크기
d2(n) = 단위 표준편차를 갖는 n개 독립 정규 분포 변수의 범위 기대값
d3(n) = 단위 표준편차를 갖는 n개 독립 정규 분포 변수의 범위 표준편차