구간 중도절단되지 않은 데이터의 경우 생존 플랫폼 보고서의 초기 섹션에 "요약" 및 "분위수" 데이터가 표시됩니다. "요약" 섹션에는 각 그룹(그룹이 있는 경우) 및 전체 연구에 대한 고장 관측값 수와 중도절단 관측값 수가 표시됩니다. 평균 및 표준편차도 중도절단에 대해 조정됩니다. 이러한 통계량에 대한 계산 상세 정보는 SAS Institute Inc. (2023)의 "LIFETEST Procedure" 장에서 확인하십시오.
"분위수" 섹션에는 개별 그룹과 결합 그룹에 대한 고장 시간 통계량이 표시됩니다. 여기에는 95% 신뢰 상한 및 하한이 있는 중앙값 생존 시간이 포함됩니다. 중앙값 생존 시간은 개체의 절반이 고장 나는 기간(일)입니다. 사분위수 생존 시간(25%, 75%)도 포함됩니다.
그림 14.15 단변량 생존 분석의 요약 통계량
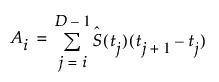
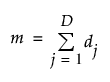
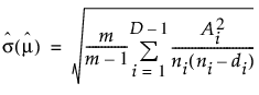
"요약" 보고서에는 평균 생존 시간과 평균의 표준 오차에 대한 추정값이 제공됩니다. 추정된 평균 생존 시간은 다음과 같이 정의됩니다.
,
의 표준 오차
다음은 각 요소에 대한 설명입니다.



- 시간 ti에서의 생존 분포
D - 개별 사건 시간 수
ni - ti 직전의 생존 유닛 수
di - ti에서 고장 난 유닛 수
t0 - 0으로 정의됨
그룹이 여러 개인 경우 "그룹 간 검정" 테이블에 그룹 간 동질성에 대한 통계 검정이 제공됩니다. Kalbfleisch & Prentice(1980, ch. 1), Hosmer & Lemeshow(1999, ch. 2) 및 Klein & Moeschberger(1997, ch. 7)에서는 생존 곡선의 통계량과 비교에 대해 설명합니다.
그림 14.16 그룹 간 검정
검정
생존 함수가 그룹 간에 동일하다는 가설에 대한 통계 검정입니다.
카이제곱
통계 검정에 대한 카이제곱 근사입니다.
로그-순위 검정은 생존 시간이 클수록 가중치를 더 부여하며, 비교되는 그룹의 위험 함수 비율이 거의 일정할 때 더 유용합니다. 위험 함수는 주어진 시간의 순간 고장 비율입니다. 사망률 또는 사망력이라고도 합니다.
Wilcoxon 검정은 초기 생존 시간에 가중치를 더 많이 부여하며, 오차가 로지스틱 분포를 따르는 경우 최적 순위 검정입니다. 자세한 내용은 Kalbfleisch & Prentice(1980)에서 확인하십시오.
DF
통계 검정에 대한 자유도입니다.
Prob>ChiSq
생존 함수가 모든 그룹에 대해 동일한 경우 카이제곱 값이 계산된 값보다 클 확률입니다.
Figure 14.17에서는 하나의 그룹에 대한 승법 극한 생존 함수 추정값의 예를 보여 줍니다.
그림 14.17 생존 추정값 테이블의 예
참고: 최종 기록 시간이 중도절단된 관측값인 경우 보고서에서 편향 평균 추정값을 나타냅니다. 편향 평균 추정값은 실제 평균의 하한입니다.