이 섹션에는 일원 분석 플랫폼의 "분산 동일 여부 검정" 보고서에 대한 상세 정보가 포함되어 있습니다.
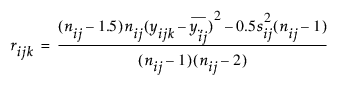
O’Brien 검정에서는 새 변수의 그룹 평균이 원래 반응의 그룹 표본 분산과 동일하도록 종속 변수를 생성합니다. O’Brien 변수는 다음과 같이 계산됩니다.

여기서 n은 yijk 관측값의 개수를 나타냅니다.
Brown-Forsythe는
에 대한 ANOVA에서 구한 모형 F 통계량이며, 여기서
는 i번째 수준의 중앙값 반응입니다.
Levene F는
에 대한 ANOVA에서 구한 모형 F 통계량이며, 여기서
는 i번째 수준의 평균 반응입니다.
Bartlett 검정은 다음과 같이 계산됩니다.
단,
및 
여기서 ni는 i번째 수준의 관측값 수이고, si2은 i번째 수준의 반응 표본 분산입니다. Bartlett 통계량은 c2 분포를 따릅니다. 카이제곱 검정 통계량을 자유도로 나누면 보고된 F 값이 됩니다.
Welch 검정 F 비는 다음과 같이 계산됩니다.
단,
,
,
,
여기서 ni는 i번째 수준의 관측값 수이고,
는 i번째 수준의 평균 반응이며, si2은 i번째 수준의 반응 표본 분산입니다.
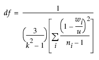
분모 자유도에 대한 Welch 근사 계산식은 다음과 같이 정의됩니다.

여기서 wi, ni 및 u는 F 비 계산식에서의 정의와 같습니다.