계수형 게이지 차트 플랫폼에서는 단순 카파 계수가 보고됩니다. 단순 카파 계수는 평가자 간 합치도의 측도입니다.

다음은 각 요소에 대한 설명입니다.

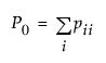
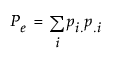
및

P0은 모든 부품에 대해 두 평가 시스템 간의 관측된 합치도 비율이고, Pe는 모든 부품에 대해 두 평가 시스템 간의 우연에 의한 기대 합치도입니다.
두 개의 반응 변수를 n개 부품에 대한 두 개의 독립된 평가로 볼 경우 평가자의 의견이 완전히 합치되면 카파 계수가 +1이 됩니다. 관측된 합치도가 우연에 의한 합치 확률을 초과하면 카파 계수가 양수가 되며 그 크기는 합치 강도를 반영합니다. 실제로는 흔치 않지만 관측된 합치도가 우연에 의한 합치 확률보다 작으면 카파가 음수가 됩니다. 카파의 최소값은 주변 비율에 따라 -1에서 0 사이입니다.
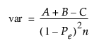
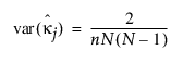
다음 방정식을 사용하여 단순 카파 계수의 점근적 분산을 추정합니다.

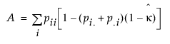
다음은 각 요소에 대한 설명입니다.


및

카파가 그림에 표시되고 표준 오차도 제공됩니다.
참고: 계수형 차트 플랫폼의 카파 통계량은 변수 수준이 불균형한 경우에도 표시됩니다.
범주형 카파 통계량(Fleiss 1981)은 "범주 간 합치도" 보고서에 있습니다.
다음과 같이 가정해 보겠습니다.
• n = 부품 수(그룹화 변수)
• m = 평가자 수
• k = 수준 수
• ri = 부품 i(i = 1,...,n)의 반복 수
• Ni = m x ri. 부품 i(i = 1, 2,...,n)에 대한 평가 수. 여기에는 모든 평가자의 반응 및 부품에 대한 반복 평가가 포함됩니다. 예를 들어 2명의 평가자가 부품 i를 각각 3번씩 측정하는 경우 Ni는 3 x 2 = 6입니다.
• xij = 수준 j(j = 1, 2,...,k)에 대한 부품 i(i = 1, 2,...,n)의 평가 수
개별 범주 카파는 다음과 같이 정의됩니다.

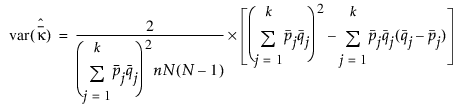
전체 카파는 다음과 같이 정의됩니다.

및
의 분산은 다음과 같이 계산됩니다.


및
의 표준 오차는 부품당 평가 수가 같을 때만 표시됩니다(예: 모든 i = 1,…,n에 대해 Ni = N).