이 섹션에는 분할 분석 플랫폼의 합치도 통계량에 대한 상세 정보가 포함되어 있습니다. 두 개의 반응 변수를 n개 개체에 대한 두 개의 독립된 평가로 볼 경우 평가자의 의견이 완전히 합치되면 카파 계수가 +1이 됩니다. 관측된 합치도가 우연에 의해 기대되는 합치도 크기를 초과하면 카파 계수가 양수가 되며 그 크기는 합치 강도를 반영합니다. 실제로는 흔치 않지만 관측된 합치도가 우연에 의해 기대되는 합치도 크기보다 작으면 카파가 음수가 됩니다. 카파의 최소값은 주변 비율에 따라 다르지만 항상 -1과 0 사이입니다.
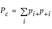
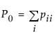
카파 계수는 다음과 같이 계산됩니다.
단,
및 
는
번째 셀에 있는 개체의 비율이므로
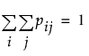
입니다.
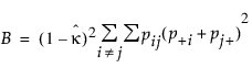
단순 카파 계수의 점근 분산은 다음과 같이 추정됩니다.
단,
,
및

자세한 내용은 Cohen 연구 자료(1960) 및 Fleiss et al. 연구 자료(1969)에서 확인하십시오.
Bowker 대칭성 검정에서 귀무가설은 2 x 2 테이블의 확률이 대칭성을 만족(pij=pji)한다는 것입니다.