다변량 방법
>
판별 분석
>
판별 플랫폼에 대한 통계 상세 정보
> 그룹 간 공분산 행렬에 대한 통계 상세 정보
발행일 : 03/10/2025
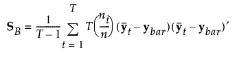
그룹 간 공분산 행렬에 대한 통계 상세 정보
판별 플랫폼의 그룹 간 공분산 행렬은
Table 5.2
의 표기를 사용하여 다음과 같이 정의됩니다.
더 많은 정보를 원하십니까? 질문이 있습니까? JMP 사용자 커뮤니티에서 답변 받기
(community.jmp.com)
.
이 사이트는 JavaScript가 활성화 된 상태에서 가장 잘 작동합니다.