기본 분석 > 이변량 분석 > 이변량 플랫폼에 대한 통계 상세 정보 > 이변량 정규 타원 보고서에 대한 통계 상세 정보
발행일 : 03/10/2025

이변량 정규 타원 보고서에 대한 통계 상세 정보

이 섹션에는 이변량 플랫폼의 "이변량 정규 타원" 보고서에 대한 상세 정보가 포함되어 있습니다.

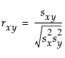
Pearson 상관계수는 r로 표기되며 다음과 같이 계산됩니다.

Equation shown here 여기서, Equation shown here

여기서 wii번째 관측값의 가중치(가중치 열이 지정된 경우) 또는 1(가중치 열이 할당되지 않은 경우)입니다.

더 많은 정보를 원하십니까? 질문이 있습니까? JMP 사용자 커뮤니티에서 답변 받기 (community.jmp.com).