이 섹션에는 범주형 플랫폼에 대한 통계 상세 정보가 포함되어 있습니다.
Rao-Scott 수정은 다중 응답에 대한 응답 동질성 검정에 적용됩니다. 자세한 내용은 Lavassani et al. (2009)에서 확인하십시오.
다중 응답의 경우 표본이 중복될 수 있습니다. 즉, 단일 참가자가 두 개 이상의 응답을 제공할 수 있습니다. 다중 응답은 Pearson 카이제곱 검정의 독립성 가정에 위배되므로 Pearson 카이제곱 검정은 다중 응답에 적절하지 않습니다. 또한 총계가 다중 응답이 허용되지 않는 경우보다 크기 때문에 주변 합을 사용하여 계산된 기대값은 다중 응답의 영향을 받습니다.
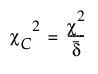
Rao-Scott 카이제곱 통계량은 다음과 같이 정의됩니다.

다음은 각 요소에 대한 설명입니다.
- 표준 Pearson 카이제곱 통계량
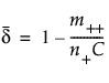
- 수정 계수
수정 계수에는 다음 값이 포함됩니다.
- 다중 응답의 총 개수
- 총 참가자 수
C - 응답 수준의 수(교차표 테이블의 열 수)
자유도는 (R-1)C, 즉 (행 수 - 1)에 열 수를 곱한 값입니다.