이변량 플랫폼에서 "선형 적합" 옵션은 잔차 제곱합을 최소화하도록 점을 적합시키는 직선의 b0 및 b1 모수를 찾습니다. i번째 행에 대한 모형은 yi = b0 + b1xi + ei로 작성됩니다.
선형 적합에 대한 평균 신뢰 한계는 다음과 같이 정의됩니다.

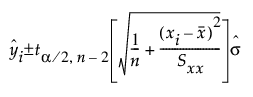
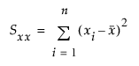
선형 적합에 대한 개별값 신뢰 한계는 다음과 같이 정의됩니다.

다음은 각 요소에 대한 설명입니다.
= i번째 관측값인 xi에서의 예측값
= x 변수의 평균




tα/2,n = 자유도가 n–2인 중심 t 분포의 (a/2)번째 분위수
n = 표본 크기
참고: "평균 신뢰 한계 계산식" 및 "개별값 신뢰 한계 계산식" 옵션을 사용하여 모형 적합에 대한 한계 계산식을 데이터 테이블의 새 열에 저장할 수 있습니다. 계산식은 행렬 형식으로 저장됩니다.