기본 분석 > 이변량 분석 > 이변량 플랫폼에 대한 통계 상세 정보 > 다항식 적합 옵션에 대한 통계 상세 정보
발행일 : 03/10/2025

다항식 적합 옵션에 대한 통계 상세 정보

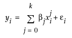
2차 다항식은 포물선으로 나타나고 3차 다항식은 3차 곡선으로 나타납니다. k차의 경우 i번째 행에 대한 모형은 다음과 같습니다.

Equation shown here

다음은 각 요소에 대한 설명입니다.

Equation shown here = i번째 관측값인 xi에서의 반응 값

bj = j번째 모수

k = 다항식의 차수

ei = 모형의 오차 항

더 많은 정보를 원하십니까? 질문이 있습니까? JMP 사용자 커뮤니티에서 답변 받기 (community.jmp.com).