함수 데이터 탐색기 플랫폼의 "함수 요약" 보고서에는 통합 차이, RISE(제곱근 적분 제곱 오차) 및 RIFS(제곱근 적분 함수 제곱) 요약 통계량이 포함됩니다. 이 섹션에서는 이러한 요약 통계량을 정의합니다. 이 섹션에 나오는 모든 방정식은 입력 값이 0 ~ 1 범위에 맞춰져 있다고 가정합니다. 모든 함수에 대해 다음 표기가 사용됩니다.
입력 값 x에서 곡선 i에 대한 추정 함수
입력 값 x에서의 추정 평균 함수
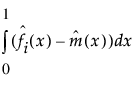
통합 차이는 ID 특정 곡선의 점과 전체 평균 곡선의 점에 대한 평균 차이입니다. 이 값을 사용하면 ID 특정 곡선이 대체로 평균 곡선 위에 있는지 아니면 아래에 있는지 판별할 수 있습니다. 곡선 i에 대한 통합 차이는 다음과 같이 정의됩니다.
IDi = 
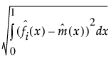
RISE(제곱근 적분 제곱 오차)는 ID 특정 곡선과 전체 평균 곡선 사이의 평균 거리입니다. 이 값을 사용하면 전체 평균 곡선과 가장 유사하거나 가장 다른 ID 특정 곡선을 판별할 수 있습니다. 곡선 i에 대한 RISE 요약 값은 다음과 같이 정의됩니다.
RISEi = 
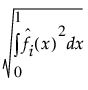
RIFS(제곱근 적분 함수 제곱)는 최적 곡선 시나리오를 분석하기 위한 요약 값입니다. 최적 곡선을 미리 빼는 경우 가장 작은 RIFS 값을 사용하여 최적 곡선에 가장 가까운 함수를 판별할 수 있습니다. 곡선 i에 대한 RIFS 요약 값은 다음과 같이 정의됩니다.
RIFSi = 