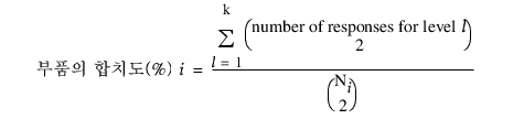
모든 "X, 그룹화" 변수가 가로 축에 표시되는 게이지 계수형 차트에서 합치도(%)는 다음과 같이 계산됩니다.

모든 "Y, 반응" 변수가 가로 축에 표시되는 게이지 계수형 차트에서 합치도(%)는 다음과 같이 계산됩니다.

다음 사항에 유의하십시오.
• n = 부품 수(그룹화 변수)
• ri = 부품 i(i = 1,...,n)의 반복 수
• m = 평가자 수
• k = 수준 수
• Ni = m x ri. 부품 i(i = 1,...,n)에 대한 평가 수. 여기에는 모든 평가자의 반응 및 부품에 대한 반복 평가가 포함됩니다. 예를 들어 3명의 평가자가 부품 i를 각각 3번씩 측정하는 경우 Ni는 3 x 3 = 9입니다.
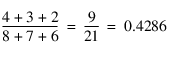
한 부품을 각각 세 번씩 반복 실험하는 세 명의 평가자에 대한 데이터 테이블을 예로 들어보겠습니다.
|
|
A |
B |
C |
|---|---|---|---|
|
1 |
1 |
1 |
1 |
|
2 |
1 |
1 |
0 |
|
3 |
0 |
0 |
0 |
이 테이블을 사용하여 다음과 같은 계산을 수행할 수 있습니다.
합치도(%) =
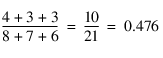
합치도(%) [평가자 A] = 합치도(%) [평가자 B] =
,
합치도(%) [평가자 C] =