이 섹션에는 이변량 플랫폼의 "적합 결여" 보고서에 대한 상세 정보가 포함되어 있습니다.
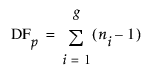
순수 오차 DF의 경우 키 값이 동일한 관측값이 둘 이상 있는 경우를 고려합니다. 일반적으로 각 효과의 값이 동일한 행이 여러 개 있는 g개의 그룹이 있는 경우 합동 DF(DFp)는 다음과 같이 정의됩니다.

여기서 ni는 i번째 그룹의 관측값 수입니다.
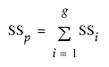
순수 오차 SS의 경우, 일반적으로 x 값이 동일한 행이 여러 개 있는 g개의 그룹이 있다면 합동 SS(SSp)는 다음과 같이 정의됩니다.

여기서 SSi는 평균에 대해 수정된 i번째 그룹의 제곱합입니다.
순수 오차는 모형 형태에 따라 변동되지 않으며 가능한 최소 분산이므로 최대 R²는 다음과 같이 계산됩니다.
