이 섹션에는 모형 적합 플랫폼에서 적합된 로지스틱 회귀 모형에 대한 상세 정보가 포함되어 있습니다.
로지스틱 회귀는 명목형 Y 반응을 X 항의 선형 모형에 적합시킵니다. 더 정확히 말하면 로지스틱 함수를 사용하여 반응 수준에 대한 확률을 적합시킵니다. 두 개의 반응 수준에 대한 함수는 다음과 같습니다.
여기서, r1은 첫 번째 반응 수준입니다.
또는 다음과 같이 지정될 수도 있습니다.
여기서, r1과 r2는 각각 두 반응 수준입니다.
참고: Y가 이항 변수이고 명목형 모델링 유형인 경우 모형 적합 창에서 목표 수준을 설정하여 확률을 모델링할 수준을 지정할 수 있습니다. 이 섹션에서는 목표 수준이 r1로 지정됩니다.
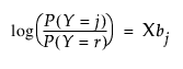
r(r > 2)개의 명목형 반응 수준에 대해 모형은 다음과 같은 형식의 r - 1개 선형 모형 모수로 정의됩니다.

최대 가능도 적합은 모형에서 발생한 반응에 기인한 결합 확률을 최대화하기 위해 b가 선택됨을 의미합니다. 이 적합은 음의 로그 가능도(–LogLikelihood)를 최소화하는 것과 동등합니다.
