다변량 방법 > 상관 및 다변량 기법 > 다변량 플랫폼에 대한 통계 상세 정보 > Pearson 곱적률 상관계수에 대한 통계 상세 정보
발행일 : 03/10/2025

Pearson 곱적률 상관계수에 대한 통계 상세 정보

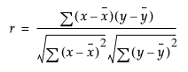
다변량 플랫폼에서 Pearson 곱적률 상관계수는 두 변수 간의 선형 관계 강도를 측정합니다. 반응 변수 XY에 대해 r로 표시되고 다음과 같이 계산됩니다.

Equation shown here

두 변수가 정확히 선형 관계에 있는 경우 상관계수는 변수가 양의 관계인지 아니면 음의 관계인지에 따라 1 또는 –1입니다. 선형 관계가 없으면 상관계수가 0에 가까워집니다.

더 많은 정보를 원하십니까? 질문이 있습니까? JMP 사용자 커뮤니티에서 답변 받기 (community.jmp.com).