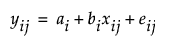
랜덤 계수 모형에 대한 통계 상세 정보모형 적합 플랫폼의 혼합 모형 분석법에서 표준 랜덤 계수 모형은 각 개체에 대한 랜덤 절편과 기울기를 지정합니다. yij가 i번째 개체에 대한 j번째 관측값의 측정값을 나타낸다고 하겠습니다. 그러면 랜덤 계수 모형을 다음과 같이 지정할 수 있습니다.

다음은 각 요소에 대한 설명입니다.




및

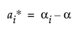
추정되는 고정 성분 및 랜덤 성분을 반영하도록 모형을 재구성할 수 있습니다.

다음은 각 요소에 대한 설명입니다.


및

G 및 eij는 위와 같이 정의됩니다.