모든 반응 변수 선별 그림에는 Benjamini and Hochberg(1995)에 설명된 False Discovery Rate 기법을 사용하여 수행되는 검정의 p 값이 포함됩니다. Westfall et al. (2011)의 내용도 참조하십시오. 이 방법에서는 p 값이 독립적이고 균등 분포를 따른다고 가정합니다.
반응 변수 선별 플랫폼에서는 다음 절차를 사용하여 a 수준에서 False Discovery Rate를 제어합니다.
1. 관심 있는 가설 검정 m개를 수행하여 p 값(p1, p2,..., pm)을 구합니다.
2. P 값의 순위를 가장 작은 것부터 순서대로 정렬합니다. 이러한 순위화를 p(1) ≤ p(2) ≤ ... ≤ p(m)으로 나타냅니다.
3. P(i) ≤ (i/m)a에 대해 가장 큰 p 값을 찾습니다. 이 첫 번째 p 값을 k번째로 큰 p(k)라고 가정합니다.
4. P(k)보다 작거나 같은 p 값과 관련된 k개의 가설을 기각합니다.
이 절차를 사용하면 False Discovery Rate가 a를 초과하지 않습니다.
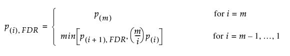
False Discovery Rate에 대해 수정된 p 값은 p(i), FDR로 표시하고 다음과 같이 계산됩니다.

가설의 FDR 수정 p 값이 a 미만이면 절차에 의해 가설이 기각됩니다.