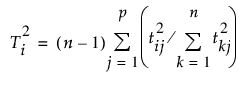
부분 최소 제곱 플랫폼에서 i번째 관측값의 T2 값은 다음과 같이 계산됩니다.

여기서 tij = i번째 행과 j번째 추출된 요인의 X 스코어, p = 추출된 요인 수, n = 모형을 훈련하는 데 사용된 관측값 수입니다. 검증을 사용하지 않는 경우 n = 총 관측값 수입니다.
T2 그림의 관리 한계는 다음과 같이 계산됩니다.
((n-1)2/n)*BetaQuantile(0.95, p/2, (n-p-1)/2)
여기서 p = 추출된 요인 수, n = 모형을 훈련하는 데 사용된 관측값 수입니다. 검증을 사용하지 않는 경우 n = 총 관측값 수입니다. 자세한 내용은 Tracy et al. (1992)에서 확인하십시오.