이 섹션에는 분할 분석 플랫폼의 검정 보고서에 대한 상세 정보가 포함되어 있습니다.
R²(U)는 다음과 같이 계산됩니다.

음의 로드 가능도 합계는 전체 표본에서 고정된 반응 비율을 적합시켜 구합니다.
이 섹션에서는 두 카이제곱 검정에 대한 계산을 설명합니다.
가능도비 카이제곱 검정 통계량은 "검정" 테이블의 모형에 대한 음의 로그 가능도의 2배로 계산됩니다. 일부 책에서는 이 통계량에 G2 표기를 사용합니다. 두 개의 음의 로그 가능도(전체 모집단 반응 확률을 사용한 로그 가능도와 각 모집단 반응 비율을 사용한 로그 가능도) 사이의 차이는 다음과 같이 정의됩니다.
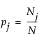
단,
및 
이 계산식은 간단히 다음과 같이 쓸 수 있습니다.

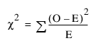
Pearson 카이제곱 검정 통계량은 관측된 셀 개수와 기대 셀 개수 사이의 차이를 제곱한 후 합해서 계산합니다. Pearson 카이제곱 검정은 표본 크기가 매우 클 경우 빈도 수가 정규 분포를 따르는 경향이 있다는 특성을 이용합니다. Pearson 카이제곱 통계량은 다음과 같이 정의됩니다.

여기서 O는 관측된 셀 개수이고 E는 기대 셀 개수입니다. 합계에는 모든 셀이 포함됩니다. 여기서는 2 x 2 테이블에서 종종 수행되는 연속성 수정이 수행되지 않습니다.