이 섹션에서는 관리도 빌더에서 삼원 관리도에 대한 시그마 값을 계산하는 방법을 설명합니다.
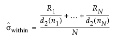
범위 평균을 사용하여 추정되는 삼원 관리도의 군내 표준편차 추정값은 평균 개별값, 평균 이동 범위 및 R 차트에 사용할 수 있습니다.

이 계산식에서는 다음과 같은 표기를 사용합니다.
Ri = i번째 부분군의 범위
ni = i번째 부분군의 표본 크기
d2(ni) = 단위 표준편차를 갖는 ni개 독립 정규 분포 변수의 범위 기대값
N = 부분군 수(ni ≥ 2)
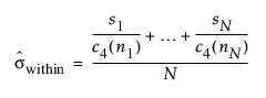
비편향 표준편차의 평균을 사용하여 추정되는 삼원 관리도의 군내 표준편차 추정값은 평균 개별값, 평균 이동 범위 및 S 차트에 사용할 수 있습니다.

이 계산식에서는 다음과 같은 표기를 사용합니다.
si = i번째 부분군의 표본 표준편차
ni = i번째 부분군의 표본 크기
c4(ni) = 단위 표준편차를 갖는 ni개 독립 정규 분포 변수의 표준편차 기대값
N = 부분군 수(ni ≥ 2)
삼원 관리도의 군간 표준편차 추정값은 부분군 평균의 이동 범위를 사용하여 추정됩니다.

이 계산식에서는 다음과 같은 표기를 사용합니다.
= (MR2+MR3+...+MRN)/(N-1)로 계산된 비결측 이동 범위의 평균(MRi = |yi - yi-1|)
d2(2) = 단위 표준편차를 갖는 두 독립 정규 분포 변수의 범위 기대값
, 부분군 표본 크기의 조화 평균
참고: 음수 값으로 추정된 군간 표준편차는 0으로 설정됩니다.
삼원 관리도의 군간-군내 표준편차 추정값은 군내 표준편차 및 군간 표준편차 추정값의 조합을 사용하여 추정됩니다.
