관리도 빌더에서 다음 계산식을 사용하여 LCL(관리 하한)과 UCL(관리 상한)이 계산됩니다.
U 차트 LCL = 
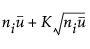
U 차트 UCL = 
C 차트 LCL = 
C 차트 UCL = 
Laney U¢ 차트 LCL = 
Laney U¢ 차트 UCL = 
한계는 ni에 따라 달라집니다.
ui = i번째 부분군의 단위별 결함 수. 일반적으로 ui = ci/ni입니다.
K = 시그마 승수(기본값 3)
sz = 표준화된 값에서 계산된 이동 범위 시그마
ci = i번째 부분군의 총 결함 수
ni = i번째 부분군의 검사 단위 수
= 전체 부분군에 대한 단위별 평균 결함 수.
양(quantity)은 가중 평균으로 계산됩니다.

N = 부분군 수