관리도 빌더에서 Xbar-R 차트에 대한 관리 한계는 다음 계산식을 사용하여 생성됩니다.
XBar 차트의 LCL = 
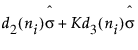
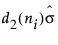
XBar 차트의 UCL = 
R 차트의 LCL = 
R 차트의 UCL = 
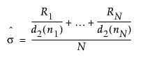
R 차트의 중심선: 기본적으로 i번째 부분군의 중심선은 Ri의 기대 추정값을 나타냅니다. 이 값은
로 계산됩니다. 여기서
는 s의 추정값입니다.
Xbar-R 차트의 표준편차는 다음 계산식을 사용하여 추정됩니다.

다음은 각 요소에 대한 설명입니다.
= 부분군 평균의 가중 평균
K = 시그마 승수(기본값 3)
s = 공정 표준편차
ni = i번째 부분군의 표본 크기
d2(n) = 단위 표준편차를 갖는 n개 독립 정규 분포 변수의 범위 기대값
d3(n) = 단위 표준편차를 갖는 n개 독립 정규 분포 변수의 범위 표준편차
Ri = i번째 부분군의 범위
N = 부분군 수(ni ≥ 2)