"유형 1 게이지 연구" 보고서에는 시작 창에 지정된 각 측정값 열에 대한 "유형 1 게이지 분석" 보고서가 포함되어 있습니다. 각 분석 보고서의 제목에 열 이름이 포함됩니다. 기본적으로 각 "유형 1 게이지 분석" 보고서에는 측정값의 런 차트와 요약 및 공정 능력 통계량 테이블이 있습니다.
• 런 차트
"유형 1 게이지 분석" 보고서의 측정값 런 차트에는 참조 값과 공차 상한 및 하한 위치에 수평선이 있습니다. 공차는 Ref(참조 표준 값), p(공차 백분율 값) 및 Tol(공차 범위)을 기반으로 하며 다음과 같이 계산됩니다.
공차 비율 = Ref ± 0.5p*Tol
"런 차트"의 빨간색 삼각형 메뉴에는 다음 옵션이 포함되어 있습니다.
공차 비율 표시
런 차트에 공차 비율 선을 표시하거나 숨깁니다. 공차 범위가 제공되거나 계산되면 공차 비율이 기본적으로 표시됩니다.
참조 표시
런 차트에 참조 값을 표시하거나 숨깁니다. 참조 값은 기본적으로 표시됩니다.
평균 표시
런 차트에 평균을 표시하거나 숨깁니다.
"유형 1 게이지 분석" 보고서의 "요약 및 공정 능력 통계량" 테이블에는 측정 시스템의 반복성을 판별하는 통계량이 포함되어 있습니다.
참고: Tol(공차 범위)과 관련된 통계량은 분석 전에 MSA 메타데이터에 공차 범위가 지정된 경우에만 포함됩니다.
Ref(참조)
MSA 메타데이터에 정의된 참조 표준 값입니다.
평균
관측된 측정값의 평균입니다.
표준편차
관측된 측정값의 표준편차(s)입니다.
k*표준편차
시작 창에 정의한 시그마 승수와 표준편차를 곱한 값입니다.
N
관측된 측정값 수입니다.
Tol(공차 범위)
공차 범위입니다.
Ref - (p/2)*Tol
런 차트에 표시되는 공차 비율 하한 값입니다.
Ref + (p/2)*Tol
런 차트에 표시되는 공차 비율 상한 값입니다.
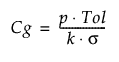
Cg
측정값 변동이 지정된 공차 범위에 얼마나 잘 맞는지 나타내는 측도입니다. 양호한 측정 시스템의 일반적인 임계값은 1.33 이상의 Cg 값입니다. Cg는 다음과 같이 계산됩니다.

Cgk
Cg 값 계산과 유사하지만 치우침도 고려한 측정값입니다. 양호한 측정 시스템의 일반적인 임계값은 1.33 이상의 Cgk 값입니다. Cgk는 다음과 같이 계산됩니다.

반복성에 대한 분산비(%)
ks에서 사용하는 공차 범위 백분율입니다. 값이 클수록 시스템의 측정 변동성이 높습니다. 반복성에 대한 분산비(%)는 다음과 같이 계산됩니다.
반복성에 대한 분산비(%) = (p/Cg) ´ 100
반복성 및 치우침에 대한 분산비(%)
반복성에 대한 분산비(%)와 유사하지만 치우침도 고려한 측정값입니다. 반복성 및 치우침에 대한 분산비(%)는 다음과 같이 계산됩니다.
반복성 및 치우침에 대한 분산비(%) = (p/Cgk) ´ 100
치우침
평균과 참조 표준 값의 차이입니다.
치우침/Tol %
백분율 치우침 값이며 다음과 같이 계산됩니다.

Res(해상도)
측정 장치에서 보고할 수 있는 최소 해상도입니다.
Res/Tol %
백분율 해상도 값이며 다음과 같이 계산됩니다.
