회계 작업 시 요약을 위해 자금을 합칩니다. 불확도 또는 잡음이 있는 상태에서 과학적 관측값을 검토하는 경우 데이터 요약을 위해 통계적 측정이 필요합니다. 돈이 가산되는 것처럼 적절한 측도를 선택하면 불확도는 가법성을 나타냅니다.
결합 확률을 얻으려면 관측값이 독립적이라고 가정한 후 확률을 더하는 것이 아니라 곱해야 하므로 직접 확률이 최적의 측도가 아닙니다. 각 확률의 로그를 사용하면 이를 합산할 수 있으며 합계는 결합 확률의 로그이므로 이 방법이 더 쉽습니다.
그러나 확률 로그는 0과 1 사이에 있는 숫자의 로그이므로 음수입니다. 양수를 유지하기 위해 JMP는 확률의 음의 로그를 사용합니다. 확률이 작아질수록 음의 로그가 커집니다. 이 측도를 불확도라고 하고 확률과 반대로 측정됩니다.
비즈니스에서는 수익을 최대화하고 비용을 최소화하려고 합니다. 과학에서는 불확도를 최소화하려고 합니다. 과학의 불확도는 비즈니스의 비용과 같은 역할입니다. 모든 통계 방법은 불확도가 최소화되도록 모형을 적합시킵니다.
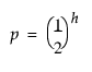
불확도를 시각화하는 것은 어렵지 않습니다. 동전 던지기가 각각 독립적일 때 일련의 동전 던지기를 생각해 보십시오. 앞면을 던질 확률은 0.5이고 밑이 2인 로그의 -log(0.5)는 1입니다. 연속해서 h번 앞면을 던질 확률은 다음과 같이 정의됩니다.

h를 계산하면 다음과 같이 됩니다.

어떤 사건의 불확도를 연속으로 "앞면"을 던져야 하는 횟수로 생각하여 동일한 희귀 사건을 가져올 수 있습니다.
통계학에서 수행하는 거의 모든 것에는 핵심에 불확도(-logp)가 있습니다. 통계 문헌에서는 불확도를 음의 로그 가능도라고 합니다.