선택 모형의 모수 추정값은 소비자 효용 또는 주변 효용(선형 효용 함수의 경우)를 식별합니다. 효용은 특정 속성을 가진 제품에서 소비자가 인식하는 만족도 수준이며 모형의 모수 추정값에서 결정됩니다.
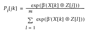
선택 통계 모형은 다음과 같이 표현됩니다.
X[k]는 절편이 있는 개체 속성 설계 행을 나타낸다고 합니다.
Z[j]는 절편이 없는 선택 속성 설계 행을 나타낸다고 합니다.
그러면 m개의 선택 중에서 j번째를 선택하게 되는 k번째 개체에 주어진 선택 확률은 다음과 같습니다.

다음은 각 요소에 대한 설명입니다.
– Ä는 Kronecker 행별 곱입니다.
– 분자는 실제로 선택된 j번째 대안에 대해 계산합니다.
– 분모는 해당 시행에 대해 개체에 제공되는 m개 선택의 합입니다.