The Space Filling mixture designs spread design points throughout the design region. It accommodates linear constraints. The design is generated in a fashion similar to the Fast Flexible Filling design method found under DOE > Special Purpose > Space Filling Design (Fast Flexible Filling Designs).
Two Mixture Design red triangle options relate specifically to Space Filling Designs:
FFF Optimality Criterion
For the Fast Flexible Filling mixture design type, enables you to select between the MaxPro criterion (the default) and the Centroid criterion. See FFF Optimality Criterion.
Advanced Options > Set Average Cluster Size
For the Fast Flexible Filling mixture design type, enables you to specify the average number of randomly generated points used to define each cluster or, equivalently, each design point. See Set Average Cluster Size.
To create an example space filling design:
1. Select DOE > Classical > Mixture Design.
2. (Optional) To match the output of this example click the Mixture Design red triangle and select Set Random Seed and enter 1409.
3. Use three factors for this example. No changes need to be made to the Factors section.
4. Click Continue.
5. Click Linear Constraints
6. Enter 0.7 in the X1 box, 1 in the X3 box, change the direction of the inequality to ≥ and enter 0.4 in the constraint box.
This constrains 0.7X1+X3 to at least 40% of the mixture.
7. Enter 30 in the Runs box.
8. Click Space Filling.
9. Click Make Table.
10. From the design table, select Graph >Ternary Plot.
11. Select X1, X2, and X3 and click X, Plotting, and then click OK.
Figure 13.19 Space Filling Design with One Linear Constraint
This design is constructed using the Centroid FFF Optimality Criterion. Note that the points fall in the constrained design region and are fairly well spread throughout this region. For more information about ternary plots, see Ternary Plot Overview.
The algorithms for Fast Flexible Filling designs begin by generating a large number of random points within the specified design region. These points are then clustered using a Fast Ward algorithm into a number of clusters that equals the Number of Runs that you specified.
The final design points can be obtained by using the default MaxPro (maximum projection) optimality criterion or by selecting the Centroid criterion. You can find these options under FFF Optimality Criterion in the report’s red triangle menu.
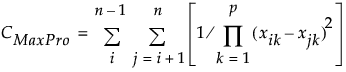
MaxPro
For p factors and n equal to the specified Number of Runs, the MaxPro criterion strives to find points in the clusters that minimize the following criterion:

The MaxPro criterion maximizes the product of the distances between potential design points in a way that involves all factors. This supports the goal of providing good space-filling properties on projections of factors. See Joseph et al. (2015). The Max Pro option is the default.
Centroid
This method places a design point at the centroid of each cluster. It has the property that the average distance from an arbitrary point in the design space to its closest neighboring design point is smaller than for other designs.
Note: You can set a preference to always use a given optimality criterion. Select File > Preferences > Platforms > DOE. Select FFF Optimality Criterion and select your preferred criterion.
The Set Average Cluster Size option is found under Advanced Options in the Mixture Design red triangle menu. This option enables you to specify the average number of uniformly generated points used to define each cluster or, equivalently, each design point.
By default, if the number of Runs for the Space Filling design type is 200 or smaller, a total of 10,000 random uniformly generated points are used as the basis for the clustering algorithm. When the number of Runs exceeds 200, the default value is 50. Increasing this value can be particularly useful in designs with a large number of factors.
Note: Depending on the number of factors and the specified value for Runs, you might want to increase the average number of initial points per design point by selecting Advanced Options > Set Average Cluster Size.
The design region can be restricted by selecting the Linear Constraint option in the Linear Constraints outline.
When you specify linear constraints, the random points that form the basis for the clustering algorithm are randomly distributed within the constrained design region. The clustering algorithm uses these points.