For the latest version of JMP Help, visit JMP.com/help.

Predictive and Specialized Modeling > Fit Curve > Statistical Details for the Fit Curve Platform
Publication date: 07/30/2020

Statistical Details for the Fit Curve Platform

Model Formulas

Table 13.1 provides the formulas for the models on the Fit Curve red triangle menu.

Table 13.1 Fit Curve Model Formulas

Model

Formula

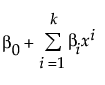
Polynomials

where k is the order of the polynomial. These models can also be fit using the Fit Model and Fit Y by X platforms.

Logistic 2P

a = Growth Rate

b = Inflection Point

Available only when all response values are between zero and one.

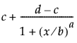
Logistic 3P

a = Growth Rate

b = Inflection Point

c = Asymptote

Logistic 4P

a = Growth Rate

b = Inflection Point

c = Lower Asymptote

d = Upper Asymptote

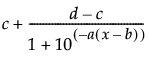
Logistic 4P Rodbard

a = Growth Rate

b = Inflection Point

c = Lower Asymptote

d = Upper Asymptote

Available only when the regressor values are positive.

Logistic 4P Hill

a = Growth Rate

b = Inflection Point

c = Lower Asymptote

d = Upper Asymptote

Logistic 5P

a = Growth Rate

b = Inflection Point

c = Asymptote 1

d = Asymptote 2

f = Power

Probit 2P

a = Growth Rate

b = Inflection Point

Φ = Normal Distribution CDF

Available only when all response values are between zero and one.

Probit 4P

a = Growth Rate

b = Inflection Point

c = Asymptote 1

d = Asymptote 2

Φ = Normal Distribution CDF

Gompertz 3P

a = Asymptote

b = Growth Rate

c = Inflection Point

Gompertz 4P

a = Lower Asymptote

b = Upper Asymptote

c = Growth Rate

d = Inflection Point

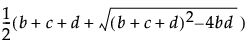
Weibull Growth

a = Upper Asymptote

b = Growth Rate

c = Inflection Point

Available only when both the response values and regressor values are non-negative.

Exponential 2P

a = Scale

b = Growth Rate

Exponential 3P

a = Asymptote

b = Scale

c = Growth Rate

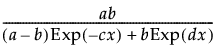
Biexponential 4P

a = Scale 1

b = Decay Rate 1

c = Scale 2

d = Decay Rate 2

Available only when the response values are positive.

Biexponential 5P

a = Asymptote

b = Scale 1

c = Decay Rate 1

d = Scale 2

f = Decay Rate 2

Mechanistic Growth

a = Asymptote

b = Scale

c = Growth Rate

Cell Growth 4P

a = Peak value if mortality rate, d, is zero

b = Response at time zero

c = Cell Division Rate

d = Cell Mortality Rate

Available only when the response values are positive and the regressor values are non-negative.

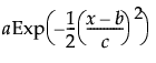
Gaussian Peak

a = Peak Value

b = Critical Point

c = Growth Rate

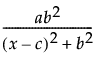
Lorentzian Peak

a = Peak Value

b = Growth Rate

c = Critical Point

One Compartment Oral Dose

a = Area Under Curve

b = Elimination Rate

c = Absorption Rate

Available only when the response values and the regressor values are all positive.

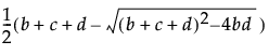
Two Compartment IV Bolus Dose

α =

β =

a = Initial Concentration

b = Transfer Rate In

c = Transfer Rate Out

d = Elimination Rate

Available only when the response values and the regressor values are all positive.

Michaelis-Menten

a = Max Reaction Rate

b = Inverse Affinity

Available only when the response values and the regressor values are all positive.

Want more information? Have questions? Get answers in the JMP User Community (community.jmp.com).