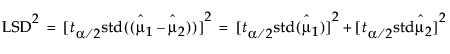
比较两个均值的一个方法是确定它们的实际差值是否大于最小显著性差异 (LSD)。该最小显著性差异是 Student t 统计量与两个均值差值的标准误差的乘积,可以表示为:

根据以下关系计算两个独立均值的差值的标准误差:

均值不相关时,这些量之间具有以下关系:

这些平方值构成了勾股定理关系,Figure 6.44 中所示的直角三角形对此进行了说明。
图 6.44 两个均值之间的差值的关系
该直角三角形的斜边是比较均值的量尺。仅当实际差值大于直角三角形的斜边 (LSD) 时,均值存在显著差异。
假定您在边界线上正好有两个均值,其中实际差值与最小显著性差异相同。使用在垂直尺度上测量的均值为顶点绘制三角形。此外,在每个均值周围绘制圆,使每个圆的直径等于该均值的置信区间。
图 6.45 t 检验统计量的几何关系
每个圆的半径是三角形相应直角边的长度,即
。
两个直角边相交成一直角,这些圆也在同一点相交成同一直角,给出以下关系:
• 若均值差值刚好等于最小显著性差异,则每个均值周围的置信区间圆相交为直角。即切线的角为直角。
现在,考虑均值差值大于或小于最小显著性差异时这些圆应如何相交:
• 若圆相交导致外角大于直角,则均值不存在显著差异。若圆相交导致外角小于直角,则均值存在显著差异。外角小于 90 度表示均值分开的距离超过最小显著性差异。
• 若圆不相交,则均值存在显著差异。若圆嵌套,则均值没有显著差异(Figure 6.11)。
同样的图形方法适用于很多多重比较检验,用 Student t 的不同概率分位数值替代即可。